PARCELE SUAS COMPRAS NAS MELHORES BANDEIRAS
Descrição
Visão geral
E tesamorelina é um análogo sintético do hormônio liberador do hormônio do crescimento (GHRH) usado como composto de laboratório para investigar a sinalização do receptor do hormônio liberador do hormônio do crescimento (GHRHR) e a dinâmica das vias endócrinas subsequentes em sistemas experimentais pré-clínicos. A molécula incorpora um grupo adicional ácido trans-3-hexanóico , uma modificação da química de peptídeos frequentemente usada para modular a estabilidade físico-química e a susceptibilidade à proteólise em matrizes biológicas.
Em contextos de pesquisa clínica (RUO), a tesamorelin é aplicada em estudos mecanísticos de sinalização acoplada a receptores, circuitos de feedback endócrino e parâmetros moleculares associados ao eixo GH/IGF em ensaios in vitro controlados e modelos animais in vivo.
Características bioquímicas

Sequência (conforme fornecida): Unk-Tyr-Ala-Asp-Ala-Ile-Phe-Thr-Asn-Ser-Tyr-Arg-Lys-Val-Leu-Gly-Gln-Leu-Ser-Ala-Arg-Lys-L eu-Leu-Gln-Asp-Ile-Met-Ser-Arg-Gln-Gln-Gly-Glu-Ser-Asn-Gln-Glu-Arg-Gly-Ala-Arg-Ala-Arg-Leu
Fórmula Molecular: C 223 H 370 N 72 O 69 S
Peso molecular: 5195.908g/mol
CID da PubChem: 44147413
Número CAS: 901758-09-6
A tesamorelina foi projetada como um análogo peptídico da família GHRH para permitir o manuseio reprodutível e perfis de exposição adequados em fluxos de trabalho experimentais. Em estudos de laboratório, essas modificações podem ser aproveitadas para avaliar parâmetros sensíveis à estabilidade, consistência da interação ligante-receptor e comportamento dose-resposta em condições de ensaio definidas.
Aplicações de pesquisa
Como análogo do GHRH, a tesamorelin é utilizada em pesquisas laboratoriais para investigar a ativação do receptor de GHRH (GHRHR) e a sinalização subsequente associada à regulação do eixo GH/IGF . Em contextos experimentais, o engajamento do GHRHR é comumente associado à sinalização mediada por GPCR (frequentemente ligada à proteína Gs / cAMP), à modulação da atividade da quinase e a programas transcricionais que influenciam a dinâmica da sinalização endócrina.
Aplicações comuns de RUO (lista não exaustiva) incluem:
- Farmacologia do GHRHR: ensaios de ligação de ligantes, potência e ativação do receptor.
- Estudos de segundos mensageiros: leituras de sinalização ligadas à adenilato ciclase/cAMP e respostas transcricionais subsequentes
- Mapeamento da via do eixo GH/IGF em sistemas in vitro controlados e modelos animais in vivo.
- Experimentos de feedback endócrino e cinética de sinalização (incluindo conceitos de dessensibilização de receptores)
- Fluxos de trabalho exploratórios de biomarcadores em modelos de pesquisa metabólica e neuroendócrina
A modificação com ácido trans-3-hexanoico é utilizada na engenharia de peptídeos para promover um desempenho experimental consistente e facilitar a investigação mecanística da sinalização do receptor e da regulação por feedback em condições laboratoriais controladas.
Contexto de via/mecanismo
A tesamorelina é estudada como uma sonda da via do GHRH , sinalizando através do receptor do hormônio liberador do hormônio do crescimento (GHRHR) , um receptor acoplado à proteína da classe BG. Em modelos canônicos, a ligação do receptor está associada à ativação da adenilato ciclase e ao aumento fazer acampamento intracelular , sustentando eventos de fosforilação subsequentes e programas de expressão gênica regulados relevantes para a função dos somatotrófos e do eixo endócrino.
Em sistemas de pesquisa, a sinalização a jusante pode ser avaliada por meio de indicadores endócrinos, assinaturas transcricionais, interação entre quinases e seus nós, e relações de biomarcadores ligadas à regulação do eixo GH/IGF e a desfechos metabólicos ou neuroendócrinos.
Resumo da Pesquisa Pré-Clínica
1. Modelagem Experimental da Adiposidade Visceral e Biomarcadores Lipídicos
Estudos publicados avaliaram a tesamorelina e análogos relacionados ao fator liberador do hormônio do crescimento em coortes de pesquisa usando parâmetros metabólicos e leituras de biomarcadores. As análises relatadas incluem associações entre alterações nas medidas do tecido adiposo visceral e parâmetros lipídicos, como triglicerídeos [3], [4Essas citações são fornecidas estritamente para fins de embasamento científico e não implicam qualquer uso médico, diagnóstico ou terapêutico pretendido.

Figura incluída como referência educacional no registro da publicação citada.
Fonte: PubMed
2. Pesquisa do Eixo Endócrino em Modelos de Infecção Crônica
Revisões e discussões mecanísticas descreveram alterações endócrinas e metabólicas observadas em ambientes de pesquisa de infecções crônicas, incluindo alterações relatadas nos parâmetros do eixo do hormônio do crescimento [5Em laboratórios RUO , a tesamorelin pode ser usada como uma sonda direcionada a receptores para avaliar relações de sinalização e comportamento de feedback endócrino em condições experimentais controladas.
3. Biologia do Nervo Periférico e Aumento do Eixo do Hormônio do Crescimento (Contexto Pré-clínico)
O eixo do hormônio do crescimento tem sido discutido na literatura pré-clínica como um modulador de ambientes celulares relevantes para modelos de lesão de nervos periféricos e pesquisas em biologia regenerativa. Revisões resumiram potenciais ligações mecanísticas entre a sinalização endócrina e os resultados experimentais em paradigmas de reparo nervoso [6Essas discussões apoiam a geração de hipóteses para estudos mecanísticos (por exemplo, sinalização de fatores de crescimento, vias associadas às células de Schwann e processos de crescimento axonal) em contextos não clínicos.
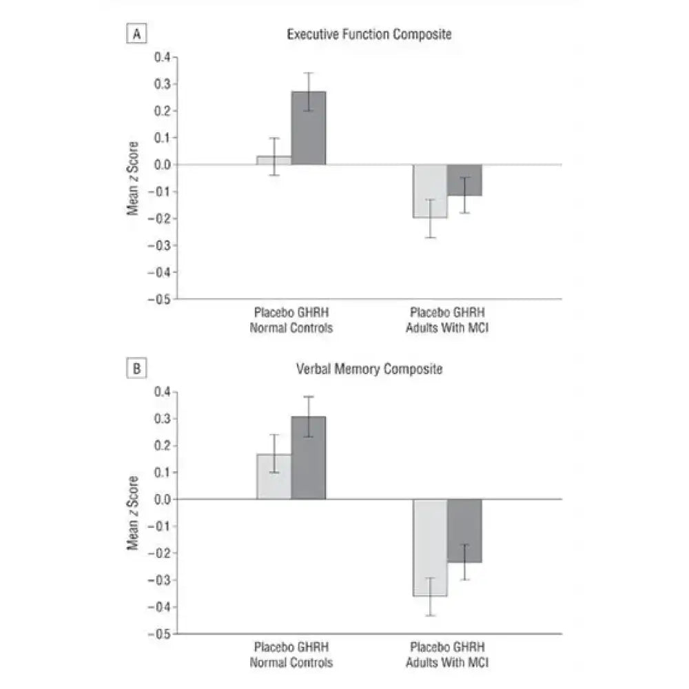
4. Sinalização neuroendócrina e leitura de biomarcadores em pesquisas cognitivas
Os análogos do GHRH foram avaliados em pesquisas publicadas usando biomarcadores e indicadores neuroquímicos, incluindo medidas associadas à espectroscopia e parâmetros relacionados a neurotransmissores, como parte de investigações mais amplas sobre a sinalização neuroendócrina em modelos de envelhecimento [7As referências são fornecidas apenas para fins de contexto da via metabólica.

Todos os resumos de pesquisa acima refletem observações pré-clínicas, translacionais e laboratoriais, e são fornecidos exclusivamente para apoiar o planejamento experimental e a discussão mecanística.
Testes de formulário e analíticos
A tesamorelina fornecida para pesquisa é geralmente preparada como um peptídeo sintético adequado para manipulação em laboratório. A identidade e a pureza do produto são normalmente verificadas utilizando técnicas analíticas estabelecidas, como cromatografia líquida de alta eficiência (HPLC) e espectrometria de massa (MS) . Documentação específica do lote pode ser fornecida para dar suporte à reprodutibilidade da pesquisa e à revisão da qualidade.
Os materiais destinam-se a dar suporte a fluxos de trabalho experimentais controlados e à caracterização subsequente usando ensaios laboratoriais padrão.
Autor do artigo
A literatura acima foi pesquisada, editada e organizada pelo Dr. Logan, médico. O Dr. Logan possui doutorado pela Faculdade de Medicina da Universidade Case Western Reserve e bacharelado em biologia molecular.
